Anderson Nunes de Carvalho Vieira
Mestre em Agronegócios e Desenvolvimento Regional pela Universidade Federal de Mato Grosso (UFMT). Contato: andersonvieira.nunes@hotmail.com
Jozy Mary Nogueira Souza Guimarães
Mestre em História pela Universidade Federal de Mato Grosso (UFMT). Contato: andersonvieira.nunes13@gmail.com
Resumo: No Brasil, de acordo com o levantamento do Censo Demográfico realizado em 2010 pelo Instituto Brasileiro de Geografia e Estatística (IBGE), o número de pessoas que estão se declarando sem religião tem aumentado substancialmente desde 1940. Os números saltaram de meros 0,2% para mais de 8% da população pesquisada em um período de 70 anos. Assim, esta pesquisa se debruçou a estudar este cenário religioso descrevendo a evolução deste crescimento e consequentemente o aumento da quantidade de pessoas que se declaram sem religião no Brasil. O objetivo geral perseguido foi demonstrar que existe um crescimento significativo do grupo denominado “sem religião” no Brasil e que crescimento tende a aumentar ainda mais até 2050. A abordagem metodológica empregada foi a mista, ou seja, num primeiro momento utilizou-se o emprego de uma abordagem quantitativa – para esboçar o cenário atual e futuro dos segmentos religiosos – e posteriormente a análise qualitativa para identificar as possíveis causas que tem levado ao crescimento dos sem religião. Concluiu-se que o número dos sem religião no Brasil está em acessão e com grande potencial de crescimento futuro fomentado principalmente pelo trânsito de fiéis entre as religiões, o que tem levado ao desigrejismo e a indiferença religiosa, contribuindo, assim, para a expansão dos irreligiosos no país.
Palavras-Chaves: Religião; Sem Religião; Irreligiosos; Religiosidade
Abstract: In Brazil, according to the Demographic Census survey conducted in 2010 by the Brazilian Institute of Geography and Statistics (IBGE), the number of people declaring themselves without religion has increased substantially since 1940. The numbers jumped from a mere 0.2% to more than 8% of the population surveyed over a period of 70 years. Thus, this research focused on studying this religious scenario describing the evolution of this growth and consequently the increase in the number of people who declare themselves without religion in Brazil. The overall objective was to demonstrate that there is a significant growth of the so-called "no-religion" group in Brazil, and that growth tends to increase further by 2050. The methodological approach employed was the mixed one, ie, the employment was first used of a quantitative approach - to sketch the present and future scenario of the religious segments - and later the qualitative analysis to identify the possible causes that has led to the growth of the non-religious. It was concluded that the number of non-religious in Brazil is in access and with great potential for future growth, fostered mainly by the transit of believers among religions, which has led to religious disenchantment and indifference, thus contributing to the expansion of irreligious in the country.
Keyword: Religion; Without religion; Irreligious; Religiosity.
A religião, como forma de manifestação social, existe desde os primórdios da história. Sua relação com aspectos fenomenológicos, artísticos, culturais, econômicos e interpessoais é fortemente identificável quando se realiza o exercício do estudo da Ciência da Religião. Desta forma, o estudo das religiões está intimamente relacionado com o estudo da própria história do ser humano, sendo possível identificar sua influência nas relações sociais de diversas civilizações que habitam ou habitaram o planeta.
No entanto, de acordo com o linguista Daniel Leonard Everett, o povo indígena da tribo Pirahã pode ser considerado um exemplo de civilização não religiosa. Em sua obra “Don’t Sleep There are Snakes” o autor discorre que tinha por objetivo principal estudar o idioma dos Pirahãs, o Apaitsiiso (aquilo que sai da cabeça), considerada linguisticamente uma língua tonal, e, ao mesmo tempo, iniciar uma tentativa de evangelização dos indígenas através da Bíblia. Porém, Everett percebeu que os Pirahãs não possuíam nenhuma ligação religiosa com Deus ou divindades, não existindo também nenhum mito ou explicação relacionada à criação e ao surgimento do Cosmo. Para os Pirahãs o mundo é como sempre foi e não há nenhuma necessidade de deidades supremas para explicá-lo, sendo irrelevantes os ritos fenomenológicos e as autoridades religiosas. Os Pirahãs argumentavam com Everett que as histórias do cristianismo, para serem consideradas verdades por eles, deveriam ter sido presenciadas pelo próprio Everett e não passada de geração a geração. Foi um argumento que convenceu o linguista a se desvincular do cristianismo tornando-se um “sem religião”, (EVERETT, 2009).
No entanto, a religião está presente em todos os países do mundo. De acordo com informações da Agência de Pesquisas Internacionais Worldwide Independent Network of Market Reseach (WIN/Gallup, 2016) a Tailândia é considerada a nação mais religiosa do mundo, seguida por Armênia, Bangladesh, Geórgia e Marrocos. O Brasil, conforme a pesquisa da WIN/Gallup (2016), ocupa a 23ª posição no ranking entre os mais religiosos do planeta, na frente da Argentina (30ª), por exemplo, e atrás da Colômbia (18ª). Ainda segundo a agência, na América Latina o Brasil ocupa a 4ª posição atrás da Colômbia, Peru e Panamá, respectivamente.
No Brasil, de acordo com o levantamento do Censo Demográfico realizado em 2010 pelo Instituto Brasileiro de Geografia e Estatística (IBGE), o número de pessoas que estão se declarando sem religião tem aumentado substancialmente desde 1940. Os números saltaram de meros 0,2 para mais de 8% da população pesquisada em um período de 70 anos. No entanto, a pesquisa apontou que os cristãos ainda são maioria entre a população brasileira e correspondem a aproximadamente 86,8%, sendo que vem ocorrendo uma queda gradativa dos adeptos do catolicismo que atualmente contam com 64,6% em detrimento do crescimento dos evangélicos que somou, no último Censo, um montante de 22,2%. Os espíritas totalizaram 2%, enquanto os fiéis da umbanda e candomblé somaram 0,3%. Já as demais religiões (islamismo, judaísmo, orientais etc.) obtiveram um total de 1,7%, (CENSO IBGE, 2010).
Os Censos Demográficos realizados pelo IBGE possuem como meta principal elaborar um retrato da sociedade brasileira com informações importantes ao conhecimento de sua realidade para o exercício da cidadania. Neste sentido, um levantamento censitário que demonstra notório crescimento de qualquer segmento da sociedade (religião, política, renda, gênero etc.) deve ser estudado de forma exaustiva. Apesar de não ser considerado um movimento novo, as causas que têm levado ao aumento do número de pessoas sem religião no Brasil ainda são pouco exploradas. Estudos nesta temática ainda são exordiais, o que justifica a elaboração desta pesquisa com o intuito de contribuir com o campo da Ciência da Religião que se dedica ao fenômeno da negação ou indiferença religiosa. É auspiciosa a realização de um estudo com o intuito de fornecer subsídios concretos, através de indicadores, para se compreender esta realidade encontrada.
Diante deste cenário, com fulcro nas informações censitárias do IBGE de 1940 a 2010, esta pesquisa teve por objetivo geral descrever que existe um crescimento notório do grupo denominado “sem religião” no Brasil. Para tanto, estabeleceu-se como objetivos específicos: a) Delinear o cenário religioso brasileiro entre os Censos de 1940 a 2010 demonstrando o crescimento dos que se declaram Sem Religião, b) Estimar, com base nos dados presentes, o possível panorama religioso e dos Sem Religião no país até o ano de 2050 e c) Identificar as possíveis causas que tem levado ao crescimento dos Sem Religião no Brasil tanto no presente quanto no possível prospecto. A problemática desta pesquisa girou em torno da seguinte pergunta: Qual o cenário do grupo que se autodeclara sem religião no Brasil, as suas possíveis causas para seu evidente crescimento e seu possível futuro até o Censo de 2050? É uma indagação que acaba remetendo a um pensamento reflexivo sobre o futuro da religião e da religiosidade no país, ou seja, algo a ser estudado pela Ciência da Religião.
Uma pesquisa, quando possui o perfil analítico, se torna o resultado de um exame ou investigação minuciosa realizada com a intenção de resolver um determinado problema recorrendo-se a procedimentos e métodos científicos. Marconi; Lakatos (2010) referem-se à pesquisa como sendo a obtenção e o procedimento sistemático e intensivo, que tem por finalidade descobrir e interpretar os fatos que estão dispostos em uma determinada realidade ou caso. Já a metodologia “(...) significa introduzir o discente no mundo dos procedimentos sistemáticos e racionais, base da formação tanto do estudioso quanto do profissional, pois ambos atuam, além da prática, no mundo das ideias”, (MARCONI; LAKATOS, 2010, p. 17). Para Gil (2000), a pesquisa descritiva tem por objetivo principal descrever as características de um dado acontecimento, fenômeno ou população. Ela pode ser realizada através de questionários ou observação sistemática de dados. Tem o caráter de levantamento e/ou análise de informações. Desta forma, foi empregado o perfil de pesquisa descritiva com procedimentos técnicos de estudo de caso, por se tratar de um trabalho que visa estudar o crescimento de uma forma de pensamento religioso dentro de uma determinada parcela da sociedade, ou seja, um fenômeno dentro de uma população.
O universo da pesquisa é o cenário religioso no Brasil, tendo como enfoque o crescimento do número de pessoas que se declaram sem religião entre os anos de 1940 e 2010. Tal cenário foi demonstrado através do levantamento quantitativo dos Censos Demográficos realizados pelo IBGE nos anos de 1940, 1950, 1960, 1970, 1980, 1991, 2000 e 2010. Foi coletado o número de religiosos e não religiosos referentes ao percentual destes dentre a população brasileira existente em cada censo. Nesta pesquisa, foi utilizada a autodeclaração que os pesquisados forneceram nos Censos do IBGE:
Quanto à natureza esta pesquisa se caracteriza como básica, pois tem a finalidade de produzir conhecimento útil para o avanço científico sem a aplicabilidade prática. Quanto à abordagem do problema, empregou-se o tipo de pesquisa mista e documental com o levantamento de dados secundários dos números do IBGE. Essa abordagem e tipo de pesquisa são as recomendadas conforme Marconi; Lakatos (2010):
A característica da pesquisa documental é que a fonte de coleta de dados está restrita a documentos, escritos ou não, constituindo o que se denomina de fontes primárias. Estas podem ser feitas quando o fato ou fenômeno ocorre, ou depois (...). Fontes estatísticas - os dados estatísticos são colhidos diretamente e a intervalos geralmente regulares, quer abrangendo a totalidade da população (censos) quer utilizando-se da técnica da amostragem, generalizando os resultados a toda população. Em outras palavras, em épocas regulares, as estatísticas recolhem dados semelhantes em lugares diferentes. A própria generalização de dados relevantes sobre a população, permite ao investigador procurar correlações entre seus próprios resultados e os que apresentam as estatísticas nacionais ou regionais. Partindo do princípio de que as pesquisas com a utilização de questionários e, principalmente, formulários, são bastante onerosas e, geralmente, de aplicação limitada, o confronto dos dados obtidos com as estatísticas, mais extensas no espaço e no tempo, permite obter resultados mais significativos. Por outro lado, se as estatísticas são mais abrangentes, também são menos precisas. (...), (MARCONI, LAKATOS, 2010. p. 174, 178).
Em um primeiro momento o tipo de pesquisa documental auxiliou na identificação e no levantamento dos números censitários junto aos bancos de dados do IBGE. Posteriormente, a abordagem quantitativa foi empregada no tratamento destes números, ora aplicando-os de forma quantitativa ora calculando a variação entre um Censo e outro para cada segmento. As respectivas taxas de variação foram encontradas através da fórmula da variação populacional descrita na equação (1):
(1)[1]
Utilizando-se a equação (1), foi possível verificar a variação percentual do crescimento para cada segmento religioso, entre um Censo e outro, e posteriormente compará-las com os sem religião ao longo de todo o período, comparando – através da abordagem qualitativa – o cenário atual das religiões no país. O crescimento religioso é considerado um tipo de crescimento populacional de cunho logístico, haja vista o aumento de indivíduos, por religião, estar condicionado ao aumento da população brasileira. Por isso, foi empregado o Método das Componentes Demográficas para projetar populações, por religião, na tentativa de conjecturar – via projeção matemática – um cenário futuro até 2050. Esta estimativa se baseia em dados passados para realizar expectativas futuras. Para calculá-las, é preciso saber a estimativa de crescimento ou taxa de decréscimo da população atual e quanto no futuro se quer prever. Ela tem sua origem na conhecida equação de equilíbrio populacional utilizada pelo IBGE, mas adaptada para este estudo pela equação de crescimento logístico. “Este tipo de crescimento populacional segue uma relação matemática, que estabelece uma curva em forma de S. A população tende assintoticamente a um valor de saturação”, (VON SPERLING, 2005, p. 03). Desta forma, em um segundo momento, foi empregado o modelo de crescimento logístico para se estimar o crescimento da população religiosa para os anos/censos de 2020 a 2050. Os cálculos foram realizados através das fórmulas matemáticas a seguir:

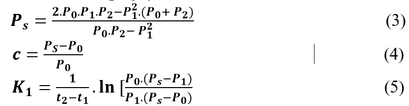
A equação (2) foi utilizada para encontrar a taxa de crescimento religioso (por segmento) de todo o período. Já as equações (3), (4) e (5) foram empregadas para se obter os coeficientes utilizados na fórmula da projeção:

E por fim, através da equação (6), realizaram-se os cálculos estimativos da quantidade populacional – de cada segmento religioso – esperado para os anos de 2020 a 2050, sendo este último utilizado para esboçar uma previsão do panorama religioso e consequentemente um possível cenário futuro dos sem religião no país.
dP/dt = Taxa de crescimento da população em função do tempo;
P0, P1, P2 = Populações nos anos t0, t1, t2;
P(t) = População religiosa estimada no ano t (quantidade de habitantes);
Ps = População de Saturação (quantidade de habitantes);
t = Censo Final;
t0 = Censo Inicial;
K1, c = Coeficientes;
e= Constante de Euller (considerar 2,781281);
ln= Logaritmo Natural.
Uma vez terminada esta abordagem, os dados obtidos com a finalização dos cálculos e estimativas foram dispostos em gráficos e tabelas para melhor compreensão e visualização. A abordagem qualitativa contribuiu para o levantamento dos possíveis motivos para o crescimento dos irreligiosos tanto no período analisado quanto o prospectado. Essa abordagem utilizou-se de dados coletados junto a última Pesquisa de Orçamentos Familiares (POF) realizada pelo IBGE entre 2008 e 2009 que possui uma característica mais qualitativa dos fenômenos.
É deveras interessante compreender as definições de religião e religiosidade. Pode-se definir religião como sendo o elo entre o ser profano e o sagrado ou entre Deus e o Homem, sendo assim uma forma de reaproximação da criatura com seu Criador. O dicionário de ciências sociais (1986, p. 1058) explana a seguinte definição de religião:
O termo religião está “(...) relacionado com o verbo latino religere: o cumprimento consciencioso do dever, respeito e poderes superiores, profunda reflexão. O substantivo religio relacionado ao verbo refere-se tanto ao objeto dessa preocupação interior quanto ao objetivo da atividade a ela relacionada. Outro verbo latino posterior é citado como fonte do termo, religare, que implica um relacionamento íntimo e duradouro com o sobrenatural. As escrituras das várias religiões raramente contêm termos gerais para religião (...).” (Dicionário de Ciências Sociais, 1986. p. 1058).
Assim, na concepção ocidental de religião, esta teria a função de religar o ser caído com o Ser Supremo através de diversos dogmas, costumes, práticas institucionalizadas e conjunto de doutrinas, sendo que tais características denotariam o ser religioso. Assim, religiosidade seria uma concepção exclusiva do ser humano, sendo manifestada pela prática da busca do sagrado. Então, o ser religioso seria aquele que desenvolve sua prática religiosa (religiosidade) através de um conjunto de crendices e manifestações que transcendem a experiência material, alinhando-se ao âmbito da metafísica e das realidades suprassensíveis, (FEBVRE, 1978).
Também neste sentido, Durkheim (2000) define o ser religioso como sendo aquele que obedece a determinados ritos, sendo que estes estabeleceriam o grau de intimidade com o sagrado e o profano, conforme suas palavras:
Temos, desta vez, um primeiro critério das crenças religiosas. Claro que, no interior desses dois gêneros fundamentais, há espécies secundárias que, por sua vez, são mais ou menos incompatíveis umas com as outras. Mas o característico do fenômeno religioso é que ele supõe sempre uma divisão bipartida do universo conhecido e conhecível em dois gêneros que compreendem tudo o que existe, mas que se excluem radicalmente. As coisas sagradas são aquelas que as proibições protegem e isolam; as coisas profanas, aquelas a que se aplicam essas proibições e que devem permanecer à distância das primeiras. As crenças religiosas são representações que exprimem a natureza das coisas sagradas e as relações que elas mantêm, seja entre si, seja com as coisas profanas. Enfim, os ritos são regras de conduta que prescrevem como o homem deve comportar-se com as coisas sagradas.” (DURKHEIM, 2000. p. 24)
Já o termo “sem religião”, a princípio, transmite a ideia de pessoas que não possui ou frequenta uma dada religião, muita das vezes sendo confundidas com uma pessoa ateísta ou agnóstica. Mas, de acordo com Zuckerman (2016), uma pessoa sem religião pode ser definida de diversas formas. Os irreligiosos[2], que abrange as pessoas que não frequentam e nem possuem uma religião específica, mas aceita a ideia de existir divindades; até aqueles que além de não possuírem religião se consideram ateus ou agnósticos, ou seja, sem religião, sem religiosidade não aceitam a ideia de existir divindades (ateístas e apateístas). Existem ainda os arreligiosos, que conforme o autor, seriam aqueles que também não possuem religião ou qualquer religiosidade, porém se opõe severamente a qualquer religião ou pensamento religioso (antirreligião/antiteísta).
Há aqueles os quais se consideram religiosos e até mesmo detentores de uma determinada religião, porém não são praticantes ou institucionalizados, posicionamento muito comum entre os cristãos. Na visão de Peterson (2002) é comum na fé católica o perfil de “católico não praticante”. Para ele, este tipo de católico é aquele que aceita e acredita na fé católica – inclusive cumprindo diversos ritos – no entanto, sua frequência a igreja e a prática religiosa não são desempenhadas com afinco. O meio evangélico também não está imune aos fiéis não praticantes ou desinstitucionalizados. Nicodemus (2011) classifica os evangélicos desigrejados[3]:
Alguns simplesmente abandonaram a fé, mas outros querem abandonar apenas a igreja e manter a fé, querem ser cristãos, mas sem igreja. Muitos desses estão apenas decepcionados com a igreja institucional e tentam continuar a ser cristão sem pertencer ou freqüentar nenhuma comunidade. Todavia, existem aqueles que, além de não mais freqüentar a igreja, tomaram esta bandeira e passaram a defender abertamente o fracasso total da igreja organizada, a necessidade de um cristianismo “desigrejados”, ou seja, de sairmos da igreja para podermos encontrar Deus. Essas idéias vêm sendo veiculadas através de livros, palestras e da mídia. Viraram um movimento que cresce a cada dia. São os “desigrejados”, (NICODEMUS, 2011. p.153-154).
Classificar e identificar os sem religião[4] no Brasil não é uma tarefa fácil, todavia é necessária para se compreender a dinâmica do crescimento deste tipo de posicionamento concernente a religião na sociedade atual. Assim, o religioso tradicional pode ser considerado um “religioso praticante”, ou seja, aquelas pessoas religiosas que são fiéis a uma dada religião sendo notoriamente participativas na comunidade religiosa. Por outro lado, os não praticantes e desigrejados podem ser classificados como pessoas religiosas e que até afirmam ter uma religião, entretanto não participam de comunidades religiosas em detrimento de outras que são religiosas (admitindo acreditar em algo sobrenatural, divino, etc), porém não possuem uma religião oficial. E, por fim, aquelas que não possuem religião e não são religiosas, que também se dividem entre ateus, agnósticos e antiteístas, (ZUCKERMAN, 2016).
A priori, é importante frisar que o crescimento dos sem religião não é uma exclusividade brasileira. Pesquisas de 2016 da Agência Internacional de pesquisa - WIN/Gallup já demonstravam a concentração de pessoas irreligiosas no mundo:
Gráfico 01. As principais religiões do mundo por número de habitantes em 2016.
Fonte: Worldwide Independent Network of Market Reseach (WIN/Gallup, 2016).
Conforme os números da WIN/Gallup, em 2016 mais de 56% da população russa e 50% da população chinesa se autodeclararam sem religião. No entanto, a Suécia é o país com o maior índice dos sem religião do mundo com 85% de sua população, seguida por Vietnã (82%), Dinamarca (80%), Noruega (71%) e Japão (65%). O continente asiático é onde se concentra o maior número de irreligiosos em detrimento do continente africano com a maior concentração de religiosos. Já a Europa é o continente onde existe a maior quantidade de irreligiosos por habitantes do mundo.
Os cristãos ainda são maioria em todo o planeta com aproximadamente 33% da população mundial o que equivaleria a 2,5 bilhões de pessoas. Mas, a quantidade de seguidores desta religião é a que mais diminuiu nos últimos 20 anos. Os cristãos vêm seguido pelos muçulmanos com 1,6 bilhões de fiéis (22%) sendo o islamismo a religião que mais ganha adeptos desde 1990. Os animistas e os hinduístas com aproximadamente 1,4 bilhões (19%), budistas com 760 milhões (10%), e as demais religiões somadas com 380 milhões (5%), (WIN/Gallup, 2016).
Ainda de acordo com a agência, as pessoas que se consideram sem religião em todo o mundo totalizaram 11% da população mundial. Isto equivaleria a 836 milhões de pessoas, ou seja, mais que o triplo da população brasileira atual. Porém, a agência admitiu que o levantamento de pessoas que possuem o perfil de Sem Religião é de difícil realização, pois muitas ainda sofrem com problemas socioculturais por tais declarações, o que poderia elevar ainda mais este número. Mas, acredita-se que deste montante 3% seriam ateus, 5% agnósticos declarados e 3% religiosos, mas sem religião.
Realizado a cada dez anos, o levantamento censitário do IBGE começou a ser praticado de forma efetiva e regular no Brasil a partir de 1940. Desde então, já foram realizados oito Censos ao longo de 70 anos que além de colher informações referente à renda, raça, idade, sexo, escolaridade etc. também faz a catalogação da opção religiosa dos pesquisados. Na tabela 01 tem-se o quantitativo religioso do Brasil de 1940 a 2010:
Tabela 01. Religiões no Brasil por quantidade de pessoas de 1940 a 2010
|
Ano |
Católicos |
Evangélicos |
Outras religiões |
Sem religião |
População Censitária |
|
1940 |
39.177.880 |
1.074.857 |
783.490 |
189.304 |
41.236.315 |
|
1950 |
48.558.854 |
1.741.430 |
1.246.665 |
412.042 |
51.944.397 |
|
1960 |
65.329.520 |
2.824.775 |
1.681.690 |
388.126 |
70.070.457 |
|
1970 |
85.472.022 |
4.814.728 |
2.142.197 |
715.056 |
93.139.037 |
|
1980 |
105.861.113 |
7.885.846 |
2.975.067 |
2.252.782 |
119.002.706 |
|
1991 |
122.366.692 |
13.189.284 |
4.253.791 |
7.542.246 |
146.682.475 |
|
2000 |
124.980.132 |
26.184.941 |
5.942.970 |
12.876.356 |
169.799.170 |
|
2010 |
123.280.172 |
42.275.440 |
7.629.308 |
15.335.510 |
190.732.694 |
Fonte: Elaborado pelo autor com dados dos Censos do IBGE 1940-2010.
Estima-se através dos números encontrados na tabela 01 que o percentual de católicos por habitante regrediu em mais de 35% enquanto o percentual de evangélicos cresceu mais de oito vezes. Seguidores de outras religiões mais que dobrou ao passo que o percentual de pessoas que se declaram sem religião aumentou 40 vezes no período de 1940 a 2010. Pela tabela 01 é notório que a quantidade, em termos percentuais, de brasileiros que se declaram sem religião foi a que mais cresceu desde o início da série histórica, apesar de sua participação no montante populacional ser pequena se comparada a católicos e evangélicos. O número de pessoas sem religião aumentou mais de 80 vezes no período, saltando dos 189,3 mil em 1940 para mais de 15 milhões de adeptos no Censo de 2010.

Gráfico 02. Evolução das variações em (%) das religiões no Brasil de 1940 a 2010.
Fonte: Elaborado pelo autor com dados dos Censos do IBGE 1940-2010.
Como é visto no gráfico 02, os sem religião obtiveram uma média total superior a todos os segmentos religiosos no período analisado, possuindo uma variação da taxa de crescimento bem superior aos demais segmentos religiosos desde 1940 até 1991, sofrendo bruscas quedas em 1960 e 2000. Em 70 anos a variação média relativa às pessoas que se autodeclararam sem religião superou os 90%, sendo que seu pico acontece em 1991, quando atingiu um crescimento da variação da ordem de 260% em relação ao Censo de 1980. O agregado evangélico também foi um dos que mais cresceu a uma média de 60%, seguido a distância pela soma dos de outras religiões (33,23%). Já as variações médias relativa ao catolicismo vêm experimentando declínio desde 1960, com média pouco acima de 16%.
Considerando-se apenas os percentuais de religiosos em comparação com os sem religião, tem-se o seguinte cenário de 1940 a 2010:

Gráfico 03. Evolução das variações em (%) dos religiosos e dos sem religião de 1940 a 2010.
Fonte: Elaborado pelo autor com dados dos Censos do IBGE 1940-2010.
Assim como no gráfico 02, o gráfico 03 demonstra que até mesmo a somatória das variações de todas as religiões (var. % católicos + var. % evangélicos + var. % outras religiões) ainda não foi superior as variações do crescimento dos Sem Religião. Somente no Censo realizado em 2010 é que fica evidente a inversão das taxas de variação de ambos os segmentos que apresentaram declínio. É perceptível que de 1950 a 2000 o crescimento dos sem religião foi superior – em termos de variação relativa – aos religiosos, corroborando para a afirmativa desta pesquisa no tocante ao crescimento do segmento dos Sem Religião no Brasil. A média total das variações também é favorável ao grupo dos irreligiosos.
Cabe frisar que em números literais a quantidade dos religiosos se comparado com os sem religião é extremamente discrepante. Ao todo seriam pouco mais de 15 milhões de pessoas que se intitulam sem religião no país comparado com 180 milhões de religioso, como demonstrado no gráfico 04:
Gráfico 04. Quantidade de adeptos de alguma religião e sem religião de 1940 a 2010.

Fonte: Elaborado pelo autor com dados dos Censos do IBGE 1940-2010.
A partir do Censo de 1980 já é possível verificar um leve crescimento dos sem religião e uma tímida retração dos religiosos em comparação com o total da população. Porém, para se ter uma ideia, os atuais 15 milhões de irreligiosos no Brasil seriam superiores a população da cidade de São Paulo ou do Estado do Rio Grande do Sul.[5] No entanto, fica evidente que o cristianismo ainda é a religião predominante no país. Obviamente que tal patamar foi construído por motivos históricos, sociais e culturais, porém o fator populacional é uma das variáveis que desempenha grande peso neste panorama do posicionamento religioso. Dados do IBGE (2010) demonstraram que no último Censo realizado o número de cristãos (católicos e evangélicos) ultrapassou a quantidade de 165 milhões de pessoas. Já a quantidade dos sem religião ficou em torno de 15 milhões. Entretanto, no que tange ao aumento variacional, os sem religião estiveram em ascensão em 4 Censos (1950, 1960, 1980 e 1991), período em que os cristãos também tiveram variações positivas em 4 Censos (1950, 1980, 1991 e 2000), porém menos expressivos. Já as variações referentes às demais religiões se mantiveram quase que constantes ao longo deste período.
Assim, tanto a nível variacional quanto cardinal é possível identificar o incremento dos irreligiosos nestes últimos 70 anos. Todavia, é preciso levar em consideração o fenômeno chamado “trânsito religioso”. O trânsito religioso consiste nas mudanças de religião e/ou denominação religiosa de determinados indivíduos ao longo de sua vida. De acordo com dados da Pesquisa de Orçamentos Familiares (POF)[6] realizada pelo IBGE em 2008-2009, o trânsito religioso tem se intensificado nos últimos 10 anos, e atualmente se encontra conforme a tabela 02, (POF IBGE, 2008-2009):
Tabela 02. Distribuição de pessoas que mudaram de religião entre 2008-2009
|
RELIGIÃO INICIAL OU EM QUE FOI CRIADO (%) |
|||||||
|
RELIGIÃO ATUAL |
Católica |
Protestante Histórico |
Pentecostal |
Espírita |
Afro-brasileiras |
Sem Religião |
Outras |
|
Total |
63,6 |
9,4 |
7,6 |
2 |
0,3 |
10 |
6,9 |
|
Católica |
- |
12,7 |
31 |
14,4 |
0,9 |
22,6 |
18,4 |
|
Protestante Histórico |
74 |
- |
0,3 |
0 |
0,2 |
24,4 |
1 |
|
Pentecostal |
74,8 |
0,9 |
- |
0,4 |
0,1 |
14,9 |
8,9 |
|
Espírita |
95,4 |
0,4 |
2,1 |
- |
0 |
0 |
2,2 |
|
Afro-brasileiras |
99,6 |
0,4 |
0 |
0 |
- |
0 |
0 |
|
Sem Religião |
50,1 |
25 |
14,9 |
2 |
0,6 |
- |
7,3 |
|
Outras |
87,8 |
6,9 |
1,6 |
0,4 |
0 |
3,3 |
- |
Fonte: Pesquisa de Orçamentos Familiares – IBGE (2008-2009).
De acordo com a tabela 02 é possível verificar que o segmento dos Sem Religião recebeu 50,1% dos seus agregados da religião católica e 39,9% dos evangélicos (Protestantes Históricos + Pentecostais) enquanto das demais religiões o montante chegou a 10%. Outrossim, o mesmo segmento também perdeu indivíduos em torno de 22,6% para a religião católica, 39,3% para os evangélicos e 3,3% para as outras religiões. Desta forma, é possível verificar que o trânsito de entrada de pessoas de outras religiões para o segmento dos Sem Religião é maior que o fluxo de saída do referido segmento o que também pode justificar o crescente número de pessoas que se autodeclaram sem religião no Brasil. Ainda com base nos dados demonstrados pela tabela 02 é possível verificar que os Sem Religião equivaleria a um “receptor universal”, que neste cenário da POF (2008/2009) recebe dissidentes de todas as outras religiões. Porém, cabe esclarecer que não se trata, portanto, somente de um movimento em direção ao ateísmo, mas sim a composição de um repertório simbólico particular, afinal, a não filiação não significa necessariamente ausência de religiosidade.
A imagem 02 demonstra o fluxo de movimentação dos fiéis entre as principais religiões do Brasil em 2008-2009:
Imagem 01. Padrões de migração entre religiões conforme a POF 2008-2009.
Fonte: Pesquisa de Orçamentos Familiares – IBGE (2008-2009).
A imagem 01 descreve de forma visual os fluxos migratórios entre as religiões vistas na tabela 02.
Obviamente que, de acordo com a frequência censitária realizada pelo IBGE, entre os anos de 2010 e 2050 ainda existirão 03 Censos a serem realizados (2020, 2030 e 2040). Entretanto, estabeleceu-se o Censo de 2050 como limite para as projeções realizadas na pesquisa por ser justamente o ano que marca a metade do presente século. Cabe frisar que tais expectativas futuras são projeções numéricas realizadas levando-se em consideração um comportamento religioso constante. Tal artificio é necessário para se realizar análises quantitativas de agregados humanos. No entanto, é sabido que o perfil humano e social não se comporta de forma constante ao longo do tempo, (GIL, 2000). Segundo projeções do IBGE (2013) a população brasileira irá diminuir durante este período, sendo que a curva de declínio se dará entre as décadas de 2040 a 2050. Assim, utilizando-se os dados da série histórica censitária, a estimativa em termos de quantitativo populacional para os próximos 40 anos seria o apresentado na tabela 02:
Tabela 03. Quantidade de pessoas por opção religiosa de 2010 a 2050
|
Opção/Ano |
2010 |
2020 |
2030 |
2040 |
2050 |
|
Católicos |
123.280.172 |
115.288.756 |
107.483.416 |
94.735.883 |
80.184.451 |
|
Evangélicos |
42.275.440 |
67.063.458 |
81.441.474 |
95.144.746 |
99.644.670 |
|
Outras Religiões |
7.629.308 |
7.587.442 |
7.449.644 |
7.100.474 |
7.744.654 |
|
Sem Religião |
15.335.510 |
17.004.124 |
18.995.474 |
21.414.786 |
27.114.414 |
|
População Censitária |
190.732.694 |
207.143.243 |
216.410.030 |
219.075.130 |
215.287.463 |
Fonte: Elaborado pelo autor através da projeção logística censitária (dados CENSO IBGE, 2010).
Através destes números é possível perceber que o cenário religioso brasileiro irá mudar até o Censo de 2050. O catolicismo irá perder mais de dois terços de seus fiéis até 2050, sendo superado – em números – pelos evangélicos em 2040. Os demais religiosos se manterão praticamente constante enquanto os sem religião estarão próximo do dobro de pessoas se comparada à quantidade de indivíduos levantados pelo último Censo realizado. Em termos comparativos, o cenário religioso brasileiro de 1940 a 2050 pode ser:
Gráfico 05. Estimativa da quantidade de indivíduos por religião de 1940 a 2050.

Fonte: Elaborado pelo autor através de estimativas com dados dos Censos do IBGE 1940-2010.
Através do gráfico 05 é possível perceber a evolução dos números de evangélicos e dos irreligiosos, bem como também a retração dos católicos e da população brasileira. No que concernem as taxas de crescimento ao longo deste período, pode-se esboçar o cenário visto no gráfico 06:
Gráfico 06. Evolução das variações em (%) das religiões no Brasil de 1940 a 2050.
Fonte: Elaborado pelo autor através de estimativas com dados dos Censos do IBGE 1940-2010.
Pelo gráfico 06 é possível visualizar que os índices estão em declínio desde 2000. Isso se deve justamente pela projeção populacional brasileira estar em rota de declínio no período proposto, ou seja, a população do país poderá encolher nos próximos anos fazendo com que todos os segmentos apresentem notória queda, (IBGE, 2013). Assim, é possível observar que ao longo de todo o período (1940 – 2050) existe uma alternância pelo topo do crescimento relativo entre evangélicos e irreligiosos (com exceção de 1960). Os números demonstram que em 2050 a quantidade relativa de pessoas sem religião em detrimento dos demais segmentos religiosos poderão ser maior, algo comprovado pela média das variações de crescimento ao longo da série proposta. Nesta projeção os evangélicos seriam a religião que ocuparia a segunda posição no ranking de crescimento relativo, porém com a maior quantidade de indivíduos (conforme tabela 03). Considerando o percentual[7] entre a parcela da sociedade para todo o período, tem-se:
Tabela 04. Percentuais por habitante de cada opção religiosa de 2010 a 2050
|
Ano/Opção |
Católicos |
Evangélicos |
Outras Religiões |
Sem Religião |
|
1940 |
95,2% |
2,6% |
1,9% |
0,2% |
|
1950 |
93,7% |
3,4% |
2,4% |
0,3% |
|
1960 |
93,1% |
4,3% |
2,4% |
0,5% |
|
1970 |
91,8% |
5,2% |
2,3% |
0,8% |
|
1980 |
89,0% |
6,6% |
2,5% |
1,6% |
|
1991 |
83,3% |
9,0% |
2,9% |
4,7% |
|
2000 |
73,9% |
15,6% |
3,5% |
7,4% |
|
2010 |
64,3% |
22,1% |
3,8% |
8,0% |
|
2020 |
55,6% |
32,3% |
3,7% |
8,2% |
|
2030 |
49,7% |
37,6% |
3,4% |
8,7% |
|
2040 |
43,2% |
43,4% |
3,2% |
9,7% |
|
2050 |
37,2% |
46,2% |
3,6% |
12,6% |
Fonte: Elaborado pelo autor através da projeção logística censitária (dados CENSO IBGE, 2010)
Pela tabela 03 é possível observar a evolução dos sem religião no Brasil. Este segmento representava 0,2% da população brasileira em 1940 e poderá chegar a ser mais de 12% em 2050. É um crescimento 60 vezes maior que o visto inicialmente, superando a taxa evolutiva do público evangélico, que, no mesmo período poderá somar um crescimento 17 vezes a mais se comparado a 1940. Desta forma, é nítido que o segmento dos irreligiosos é um dos que mais cresce o poderá continuar crescendo pelos próximos anos no país. E caso o quadro se mantenha sazonal ao longo dos Censos posteriores a 2050, o número de pessoas sem religião poderá superar a metade da população brasileira até 2100, ou seja, a maioria da população brasileira seria composta de pessoas sem religião
A religião é vista como um elo entre o sagrado e o profano, uma maneira de reconectar a criatura com seu Criador. O ser religioso é aquele que pratica sua religiosidade através de um conjunto de crenças e manifestações que transcendem a experiência material. Durkheim (2000) define o ser religioso como aquele que obedece a determinados ritos, estabelecendo um grau de intimidade com o sagrado e o profano. Por outro lado, o termo "sem religião" abrange pessoas que não frequentam ou possuem uma religião específica, mas aceitam a ideia de divindades, até aqueles que são ateus ou agnósticos. Há também os arreligiosos, que se opõem severamente a qualquer religião ou pensamento religioso. Portanto, a religiosidade é uma concepção exclusivamente humana, manifestada pela busca do sagrado.
Foi descrito ao longo da pesquisa que o movimento dos sem religião não é uma exclusividade brasileira sendo visto seu crescimento em todo o mundo. Já a nível nacional o movimento tem ganhado a adesão de muitos adeptos. O número de habitantes que se autodeclaravam sem religião no Brasil saltou dos 189.304 em 1940 para mais de 15 milhões em 2010, podendo chegar a 27 milhões de pessoas até 2050. Verificou-se também que em um período de 70 anos o percentual de pessoas que se declaram sem religião aumentou 40 vezes (de 0,2 para 8%) desde 1940. Através de projeções demográficas foi possível estimar que o segmento ainda possa crescer até 60 vezes entre os Censos de 1940 a 2050. As estatísticas também revelaram que os irreligiosos já crescem tanto em quantidade de indivíduos quanto em percentual por habitante e tudo indica que continuarão evoluindo ao longo dos próximos anos. Além disso, os números demonstraram que a quantidade de evangélicos possivelmente superará a de católicos em 2040 enquanto o número de pessoas pertencentes as demais religiões não sofrerá grandes flutuações.
Observou-se que as principais causas para o aumento do número de pessoas que se denominam sem religião no Brasil, podem-se destacar o trânsito religioso e o desigrejismo e/ou a desinstitucionalização dos fiéis. Obviamente que existem aspectos socioeconômicos e culturais que de certa forma colaboram para o aumento dos irreligiosos, porém tais fatores são de natureza subjetiva e de difícil mensuração, o que demandaria uma pesquisa mais profunda e personalizada (como entrevista e aplicação de questionários), fugindo assim do escopo deste trabalho. A mobilidade dos fiéis entre as religiões foi evidenciada pelos dados da POF (208/2009) e seriam um resumo dos números dos Censos realizados pelo IBGE. Tal trafegabilidade religiosa tem acarretado notória diminuição dos católicos no Brasil e um incremento no número de irreligiosos e evangélicos, além de comprovar o crescimento dos muçulmanos.
As projeções para o cenário religioso do Brasil em 2050 indicam uma mudança significativa. O catolicismo, que atualmente é a religião predominante, deve perder mais de dois terços de seus fiéis até 2050, sendo superado pelos evangélicos em 2040. Os sem religião devem dobrar em número em comparação com o último censo realizado. Possivelmente o trânsito de católicos em busca de outras religiões/denominações tem levado muitos fiéis ao desigrejismo e posteriormente ao abandono da fé, aumentando a quantidade de pessoas que se declaram sem religião, no entanto sendo religiosas. Tal fenômeno também é visto entre os evangélicos, porém as projeções indicaram que os evangélicos poderão ser maioria em 2040, todavia o crescimento de dissidentes do evangelicalismo também podem justificar o crescimento dos sem religiões no país. Essa assertiva é percebível ao se analisar o possível cenário das religiões em 2050, onde o crescimento dos irreligiosos superará o de evangélicos como ocorreu nos Censos de 1950, 1970 1980, 1991 e 2010.
Assim, o desigrejismo causado pela mobilidade religiosa tem aumentado o número de fiéis que tem abandonado as religiões institucionalizadas para aderirem ao chamado movimento dos Sem Religião. Acredita-se ser pessoas que, uma vez decepcionadas com a igreja, com as instituições religiosas, com os credos, costumes, doutrinas e experiências espirituais optam por seguir uma religiosidade individual, aumentando assim o número de pessoas religiosas que se afirmam sem religião. Em partes, conclui-se que a ascensão dos irreligiosos também pode ser explicada pelo aumento de indivíduos que nutrem desapreço pela religião e/ou religiosidade. Embora não existam oficialmente pesquisas específicas, pode-se deduzir que a quantidade de ateus, agnósticos e antiteístas esteja crescendo ao longo dos anos, algo que também corroboraria para o crescimento dos Sem Religião.
Dentre os ateus e agnósticos, além de questões familiares e convicções particulares, pode-se frisar também fatores como o dogmatismo científico e o niilismo religioso como respostas para expansão deste grupo. Enquanto para os antiteístas experiências negativas ou insatisfação com determinada religião ou indivíduo religioso poderiam justificar a aversão por este segmento à religião. Embora existam diversos motivos interpessoais e sociais que escapam ao propósito deste estudo, verificou-se que o aumento do número de pessoas que se declaram Sem Religião no Brasil está intimamente relacionado com o crescimento de fiéis não praticantes e arreligiosos explicado pelo aumento do trânsito de pessoas entre as religiões e o crescente número de desigrejados, ateus e agnósticos.
Desta forma, conclui-se que o segmento é fomentado diretamente por desigrejados e ateus e indiretamente pelo crescente trânsito de fiéis entre as religiões. Apesar do trabalho se ater mais ao quadro religioso brasileiro, com destaque para a insurgência dos Sem Religião e suas causas, sugere-se como pesquisas futuras uma investigação dos motivos intrínsecos que levam as pessoas a mudarem de religião ou abandonar a fé.
Para futuras pesquisas, sugere-se aprofundar a análise das causas dessas mudanças no cenário religioso. Seria interessante investigar os fatores socioculturais e econômicos que influenciam as escolhas religiosas das pessoas. Além disso, seria relevante explorar as implicações dessas mudanças para a sociedade brasileira em termos de valores culturais, normas sociais e políticas públicas. Outra sugestão seria realizar estudos qualitativos para entender melhor as experiências e perspectivas dos indivíduos sem religião, utilizando os dados do Censo do IBGE (2022), publicados recentemente depois da conclusão dessa pesquisa.
CAMPBELL, C. Para uma Sociologia da Irreligião. Londres: McMillan, 1971.
CAMPOS, I. Desigrejados – Teoria, história e contradições do niilismo eclesiástico. Rio de Janeiro: bvbooks, 2017.
Dicionário de Ciências Sociais. Rio de Janeiro: Ed. da FGV, 1986.
DURKHEIM, E. Definição do Fenômeno Religioso e da Religião. In: DURKHEIM, E. "As formas elementares da vida religiosa". São Paulo: Martins Fontes, 2000.
EVERETT, D. L. O Significado do Nome — Cosmologia e Nominação entre os Pirahã. Rio de Janeiro: Sette Letras, 1993.
FEBVRE, L. O domínio da religião sobre a vida. In, MOTA, C. G. (org). São Paulo: Ática, 1978.
GRESCHAT, H. J. O que é ciência da religião? – Coleção repensando a religião. São Paulo: Paulinas, 2005.
INSTITUTO BRASILEIRO DE GEOGRAFIA E ESTATÍSTICA – IBGE. Dados da Religião no Brasil. Mapa da religião no Brasil IBGE. Disponível em: <http://www.ibge.gov.br/estadosat/temas.php?tema=censodemog2010_religiao> acesso em junho de 2017.
INSTITUTO BRASILEIRO DE GEOGRAFIA E ESTATÍSTICA – IBGE. Estimativa da População Brasileira para 2050. Disponível em: <http://downloads.ibge.gov.br/downloads_estatisticas.htm?caminho=Projecao_da_Populacao/Revisao_2008_Projecoes_1980_2050/> acesso em julho de 2017.
INSTITUTO BRASILEIRO DE GEOGRAFIA E ESTATÍSTICA – IBGE. Pesquisa de Orçamentos Familiares – POF IBGE 2008-2009. Disponível em: <https://sidra.ibge.gov.br/pesquisa/pof/tabelas> acesso em julho de 2017.
MARCONI, M. A.; LAKATOS, E. M. Fundamentos de metodologia Científica. 7. ed. São Paulo: Editora Atlas, 2010.
NICODEMUS, A. O ateísmo cristão e outras ameaças a igreja. São Paulo: Mundo Cristão, 2011.
PETERSON, T. Católicos, voltem pra casa. Nova York: Cléofas, 2002.
SILVA, E. L.; MENEZES, E. M. Metodologia da pesquisa e elaboração de dissertação. 4. ed. rev. atual.Florianópolis: UFSC, 2005.
VON SPERLING, M. Princípios do tratamento biológico de águas residuárias. Vol. 1. Introdução à qualidade das águas e ao tratamento de esgotos. Departamento de Engenharia Sanitária e Ambiental. Belo Horizonte: UFMG. 3aed, 2005.
WORLDWIDE INDEPENDENT NETWORK OF MARKET RESEACH– WIN/Gellup. The sceneryofreligions in the world. Disponível em: <http://www.wingia.com/en/services/end_of_year_survey_2016/10/> acesso em junho de 2017.
ZUCKERMAN, P. O não religioso: compreendendo pessoas e sociedades seculares. Londres: Oxford University Press, 2016.
------------
[1]V(t) = Variação da Taxa de Crescimento (%);
Pfinal = População no Tempo Final;
Pinicial = População no Tempo Inicial.
[2] Conforme Campbell (1971), o termo irreligioso denota tanto pessoas que não estão ligadas a nenhuma religião e religiosidade (ateias) quanto pessoas sem religião, porém com religiosidade ou espiritualidade.
[3] De acordo com Campos (2017), desigrejados foi um termo criado para classificar aqueles religiosos sem vínculos institucionais, ou seja, cristão que não congregam e nem comungam em nenhuma comunidade eclesial.
[4]Conceito aplicado no Censo do IBGE classifica: a) Religioso: aqueles que se autodeclararam seguidores de uma dada religião; Cristão: aqueles que se denominaram freqüentadores do catolicismo ou do evangelicalismo e; Sem Religião: aqueles que se declararam não freqüentadores de uma religião independentemente de se autodenominarem religiosos ou não religiosos, (IBGE, 2010).
[5]Conforme Censo do IBGE (2010) a cidade de São Paulo possuía aproximadamente 12,5 milhões de habitantes enquanto que o Estado do Rio Grande do Sul 11,5 milhões.
[6] A POF é uma pesquisa por amostragem que visa levantar dados sobre a economia doméstica e o comportamento da sociedade. É realizada de forma sazonal pelo IBGE. Teve início em 1974-1975 e foi realizada em 1987-1988, 1995-1996, 2002-2003 e 2008-2009.
[7] Os percentuais de 1940 a 2010 são dados coletado dos Censos do IBGE. Os números de 2020 a 2050 foram estimados através do modelo logístico de crescimento demográfico.